Collimator

 

Home
Up

Can Tc99m collimators be used for Kr81m?

Sometimes! However if there is too much septal penetration at 191 kev then the collimator cannot be used. There are two quick tests that can be carried out.

  1. image a resolution phantom (eg Williams phantom) with Kr81m

  2. calculate the septal penetration at 191kev. A guide is that this should be greater than 90% (a relaxation from the design characterisitcs for Tc99m).

What about sensitivity?

Sometimes the only Tc99m collimator which is suitable for Kr81m is the high resolution collimator. This may have poor sensitivity and therefore lead to prolonged imaging times. An alternative may be to consider the medium energy collimator

Can a medium energy collimator be used?

Sometimes! Certain manufacturers medium energy collimators (ie. usually specified up to 300kev) have good sensitivity and sufficiently good imaging properties for Tc99m lung imaging to be used for both the perfusion and ventilation images so avoiding unnecessary collimator changes. Check with a Tc99m resolution phantom study or ask a patient if they would mind their perfusion image carried out on both the standard Tc99m collimator and the medium energy collimator.

I need to buy a Kr81m collimator

It may be necessary to obtain a collimator specifically for Kr81m. It is important that this design should provide good sensitivity with adequate resolution. Applying the same design criteria for 191kev as for a good resolution collimator for Tc99m may produce a collimator with rather poor sensitivity.

If this is part of a new camera purchase, it may be worth considering a design which allows the collimator to be used as a general purpose Tc99m collimator instead of the manufacturer's own design. This may save money and storage space. An example of a Tc99m general purpose collimator specification which we have found is both a good Tc99m collimator as well as being suitable for Kr81m is given below. It must be stressed that this should be used as a guideline only.

 

Typical Collimator Specification
septal width 2.5mm
septal length 60mm
septal wall thickness 0.2mm

There are several independent collimator manufacturers. There is also a good web site on collimator design which provides an on-line calculation of collimator characteristics from specifications provided to the program.

 

Collimator Phantom Test

It is possible to carry out a simple test of a collimator's suitablility for Kr81m. All you need is a simple resolution type phantom eg a Williams phantom, The phantom should be empty (ie no water !) and the output of the Kr81m generator is connected to one of the filing holes of the phantom. There is usually a second hole designed for eliminating air bubbles and another tube fitted to this will take Kr81m gas exhausted out of the phantom away from the camera.  The phantom is imaged in the usual way (remember to set the camera to Kr81m energy band!) on the surface of the collimator with the air/Kr81m flow from the generator passing through the phantom. Generally a 300 - 500k image should be enough and it can be helpful to also acquire the phantom when filled with Tc99m solution for comparison (on Tc99m settings!).

The image shows the effect of any septal penetration and gives an immediate answer to whether the collimator can be used.

prodimg.gif (3081 bytes)prodimg.gif (3081 bytes)

 

 

Calculating Septal Penetration

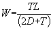
The figure below shows a schematic section through the collimator and crystal of a gamma camera.

 

The diagram shows a gamma ray (A) following the shortest path (W ) through the septa. The minimum length of this path is given by:

The septal attenuation along this path length can be determined from:

Sept. Atten. (%) = (1 - exp-µW) * 100

where µ is the linear attenuation coefficient of the collimator material for a given gamma ray energy.

Most Tc99m collimators have septal attenuation values of about 98% or greater for Tc99m (although down to about 95% was H O Anger's original concept). However experimental observations by us have lead to a value of >90% being acceptable for Kr81m for lung ventilation images.

Example

Consider a collimator (made of lead) where T=0.025cm, L=2.25cm; D=0.16cm

For interest, the value of µ for Tc99m for lead is 28cm-1

                                          Septal Attenuation at 140 keV =

For the same collimator at 190 keV , W is still 0.163, but µ=13cm-1;

therefore Sept. Atten. at 190 keV =

In this example the septal attenuation calulation of 87.9% indicates that the collimator would not be suitable for ventilation images.

(NB If a medium energy collimator is necessary for the krypton images it may also be suitable for the technetium images.)

 

 

Home ] Up ]

Last modified: November 29, 2002